background image

  

  

      

Finansdepartementet                      

Skatte- och tullavdelningen                              Fi2025/01695 

  
  
  
  
  
  
  
  

 
 
 
Sänkt skatt på arbetsinkomster, 
pension och sjuk- och aktivitets-
ersättning

  

  
  
  
  
  
  
  
  
  
  
 
 
 

September 2025 

background image

  

  

      

Innehållsförteckning

 

1

 

Sammanfattning ................................................................................ 3

 

2

 

Lagförslag ......................................................................................... 4

 

2.1

 

Förslag till lag om ändring i inkomstskattelagen 
(1999:1229) ........................................................................ 4

 

2.2

 

Förslag till lag om ändring i lagen (2024:1140) om 
ändring i lagen (2023:758) om ändring i lagen 
(2022:887) om ändring i inkomstskattelagen 
(1999:1229) ...................................................................... 10

 

3

 

Bakgrund ......................................................................................... 13

 

4

 

Jobbskatteavdraget .......................................................................... 13

 

4.1

 

Gällande rätt ..................................................................... 13

 

4.2

 

Förstärkning av jobbskatteavdraget .................................. 13

 

5

 

Det förhöjda grundavdraget ............................................................ 14

 

5.1

 

Gällande rätt ..................................................................... 14

 

5.2

 

Förstärkning av det förhöjda grundavdraget .................... 14

 

6

 

Skattereduktion för sjuk- och aktivitetsersättning ........................... 15

 

6.1

 

Gällande rätt ..................................................................... 15

 

6.2

 

Förstärkning av skattereduktionen för sjuk- och 
aktivitetsersättning ........................................................... 16

 

7

 

Ikraftträdande- och övergångsbestämmelser ................................... 17

 

8

 

Konsekvensanalys ........................................................................... 17

 

8.1

 

Syfte och alternativa lösningar ......................................... 18

 

8.2

 

Offentligfinansiella effekter ............................................. 18

 

8.3

 

Effekter för företagen ....................................................... 18

 

8.4

 

Effekter för enskilda ......................................................... 19

 

8.5

 

Effekter för sysselsättning ................................................ 22

 

8.6

 

Effekter för inkomstfördelningen ..................................... 24

 

8.7

 

Effekter för den ekonomiska jämställdheten .................... 28

 

8.8

 

Effekter för statliga myndigheter och de allmänna 
förvaltningsdomstolarna ................................................... 31

 

8.9

 

Förslagets förenlighet med EU-rätten .............................. 31

 

8.10

 

Effekter för miljön ............................................................ 31

 

9

 

Författningskommentar ................................................................... 32

 

9.1

 

Förslaget till lag om ändring i inkomstskattelagen 
(1999:1229) ...................................................................... 32

 

9.2

 

Förslaget till lag om ändring i lagen (2024:1140) om 
ändring i lagen (2023:758) om ändring i lagen 
(2022:887) om ändring i inkomstskattelagen 
(1999:1229) ...................................................................... 32

 

 

 

 

background image

  

  

      

1

 

Sammanfattning

 

I budgetpropositionen för 2026 kommer regeringen avisera ett förslag om 
sänkt skatt på arbetsinkomster, pension och sjuk- och aktivitetsersättning. 
För att möjliggöra ett ikraftträdande den 1 januari 2026 remitteras denna 
promemoria.  

I  promemorian  föreslås  att  det  ordinarie  jobbskatteavdraget  ska 

förstärkas  med  totalt  17,36 miljarder  kronor.  Skattesänkningen  riktas 
främst till heltidsarbetande med låga och medelhöga inkomster. Förslaget 
innebär att skatten i genomsnitt minskar med ca 3 800 kronor per person 
och år för dem som berörs.  

Vidare  föreslås  i  promemorian  att  det  förhöjda  grundavdraget  för 

personer  som  vid  årets  ingång  har  fyllt  66 år  förstärks  med  totalt 
4,04 miljarder kronor. Förslaget innebär att skatten i genomsnitt minskar 
med ca 2 300 kronor per person och år för dem som berörs. 

I  promemorian  lämnas  även  förslag  på  skattesänkningar  för  personer 

med  inkomster  i  form  av  sjuk-  och  aktivitetsersättning.  Syftet  med 
förslaget är att ta bort den skillnad i beskattning av sådan ersättning jämfört 
med arbetsinkomster som finns i vissa inkomstintervall. Förslaget innebär 
att  skattereduktionen  för  sjuk-  och  aktivitetsersättning  förstärks  för 
personer  som  har  ett  underlag  som  överstiger  ca 54 000 kronor  per  år. 
Personer med sådan inkomst beräknas få en skattesänkning på i genomsnitt 
1 800 kronor per år.  

Ändringarna föreslås träda i kraft den 1 januari 2026.  

 

 

 

background image

  

  

      

2

 

Lagförslag

 

2.1

 

Förslag till lag om ändring i inkomstskattelagen 
(1999:1229) 

Härigenom  föreskrivs  att  63 kap.  3 a §  och  67 kap.  7,  9 b  och  9 c §§ 
inkomstskattelagen (1999:1229)

1

 

ska ha följande lydelse. 

 

Nuvarande lydelse 

 

63 kap. 

3 a § 

 

För  dem  som  vid  beskattningsårets  ingång  har  fyllt  66 år  är  grund-

avdraget beloppet enligt 3 § med tillägg av följande särskilda belopp. 

 

Fastställd förvärvsinkomst 
 

överstiger inte 0,91 prisbasbelopp 
 
överstiger 0,91 men inte 1,11 pris-
basbelopp 
 
 
överstiger 1,11 men inte 1,965 pris-
basbelopp 
 
 
överstiger 1,965 men inte 2,72 pris-
basbelopp 
 
 
överstiger 2,72 men inte 3,11 pris-
basbelopp 
 
 
överstiger 3,11 men inte 3,24 pris-
basbelopp 
 
 
överstiger 3,24 men inte 5,00 pris-
basbelopp 
 
 
överstiger 5,00 men inte 7,88 pris-
basbelopp 
 

Särskilt belopp 
 

0,687 prisbasbelopp 
 
0,885 prisbasbelopp  minskat  med 
20 procent  av  den  fastställda 
förvärvsinkomsten 
 
0,600 prisbasbelopp  ökat  med 
5,7 procent  av  den  fastställda 
förvärvsinkomsten 
 
0,333 prisbasbelopp  ökat  med 
19,49 procent  av  den  fastställda 
förvärvsinkomsten 
 
39,49 procent  av  den  fastställda 
förvärvsinkomsten  minskat  med 
0,212 prisbasbelopp 
 
49,49 procent  av  den  fastställda 
förvärvsinkomsten  minskat  med 
0,523 prisbasbelopp 
 

0,096

 

prisbasbelopp  ökat  med

 

30,4

 procent  av  den  fastställda 

förvärvsinkomsten 
 

0,186

 prisbasbelopp  ökat  med 

28,6

 procent  av  den  fastställda 

förvärvsinkomsten 

 

1

 Lagen omtryckt 2008:803. 

background image

  

  

      

 
överstiger 7,88 men inte 8,08 pris-
basbelopp 
 
 
överstiger 8,08 men inte 

10,94

 pris-

basbelopp 
 
överstiger 

10,94

 

men 

inte 

12,47

 prisbasbelopp 

 
 
överstiger 

12,47

 prisbasbelopp 

 

0,872

 prisbasbelopp  ökat  med 

19,9

 procent  av  den  fastställda 

förvärvsinkomsten 
 

2,48

 prisbasbelopp 

 
 

9,263

 prisbasbelopp  minskat  med 

62 procent  av  den  fastställda 
förvärvsinkomsten 
 

1,532

 prisbasbelopp 

 
 

Föreslagen lydelse 

 

63 kap. 

3 a §

2

 

För  dem  som  vid  beskattningsårets  ingång  har  fyllt  66 år  är  grund-

avdraget beloppet enligt 3 § med tillägg av följande särskilda belopp. 

 

Fastställd förvärvsinkomst 
 

överstiger inte 0,91 prisbasbelopp 
 
överstiger 0,91 men inte 1,11 pris-
basbelopp 
 
 
överstiger 1,11 men inte 1,965 pris-
basbelopp 
 
 
överstiger 1,965 men inte 2,72 pris-
basbelopp 
 
 
överstiger 2,72 men inte 3,11 pris-
basbelopp 
 
 
överstiger 3,11 men inte 3,24 pris-
basbelopp 
 
 
 

Särskilt belopp 
 

0,687 prisbasbelopp 
 
0,885 prisbasbelopp minskat med 
20 procent  av  den  fastställda 
förvärvsinkomsten 
 
0,600 prisbasbelopp  ökat  med 
5,7 procent  av  den  fastställda 
förvärvsinkomsten 
 
0,333 prisbasbelopp  ökat  med 
19,49 procent  av  den  fastställda 
förvärvsinkomsten 
 
39,49 procent  av  den  fastställda 
förvärvsinkomsten  minskat  med 
0,212 prisbasbelopp 
 
49,49 procent  av  den  fastställda 
förvärvsinkomsten  minskat  med 
0,523 prisbasbelopp 
 

 

 

2

 Senaste lydelse 2024:1131. 

background image

  

  

      

överstiger 3,24 men inte 5,00 pris-
basbelopp 
 
 
överstiger 5,00 men inte 7,88 pris-
basbelopp 
 
 
överstiger 7,88 men inte 8,08 pris-
basbelopp 
 
 
överstiger 8,08 men inte 

11,16 

pris-

basbelopp 
 
överstiger 

11,16

 

men 

inte 

12,84

 prisbasbelopp 

 
 
överstiger 

12,84

 prisbasbelopp 

35,6

 procent  av  den  fastställda 

förvärvsinkomsten 

minskat  med 

0,073 prisbasbelopp

 

 

0,17

 prisbasbelopp  ökat  med 

23,8

 procent  av  den  fastställda 

förvärvsinkomsten 
 

0,703

 prisbasbelopp  ökat  med 

25,1

 procent  av  den  fastställda 

förvärvsinkomsten 
 

2,732

 prisbasbelopp 

 
 

9,652

 prisbasbelopp minskat med 

62 procent  av  den  fastställda 
förvärvsinkomsten 
 

1,691

 prisbasbelopp 

 

 

Nuvarande lydelse  

 

67

 

kap.

 

7 § 

För dem som vid beskattningsårets ingång inte har fyllt 66 år uppgår 

skattereduktionen för summan av arbetsinkomster beräknade enligt 6 § 
till följande belopp. 

 

Arbetsinkomst som beskattas i 
Sverige 
 

överstiger inte 0,91 prisbasbelopp 
 
 
 
 
överstiger 0,91 men inte 3,24 pris-
basbelopp 
 
 
 
 
 
 
 
överstiger 3,24 men inte 8,08 pris-
basbelopp 
 
 

Skattereduktion 
 
 

skillnaden 

mellan 

arbets-

inkomsterna  och  grundavdraget, 
multiplicerad  med  skattesatsen  för 
kommunal inkomstskatt 
 
skillnaden  mellan  å  ena  sidan 
summan av 0,91 prisbasbelopp och 
38,74 procent 

av 

arbets-

inkomsterna  mellan  0,91  och 
3,24 prisbasbelopp  och  å  andra 
sidan grundavdraget, multiplicerad 
med  skattesatsen  för  kommunal 
inkomstskatt 
 
skillnaden  mellan  å  ena  sidan 
summan  av  1,813

 

prisbasbelopp 

och 

19,9

 procent  av  arbets-

inkomsterna  mellan  3,24  och 

background image

  

  

      

 
 
 
 
 
överstiger 8,08 prisbasbelopp 

8,08 prisbasbelopp  och  å  andra 
sidan grundavdraget, multiplicerad 
med  skattesatsen  för  kommunal 
inkomstskatt 
 
skillnaden  mellan 

2,776

 prisbas-

belopp 

och 

grundavdraget, 

multiplicerad  med  skattesatsen  för 
kommunal inkomstskatt 

 

 

Föreslagen lydelse  

 

67

 

kap.

 

§

3

 

För dem som vid beskattningsårets ingång inte har fyllt 66 år uppgår 

skattereduktionen för summan av arbetsinkomster beräknade enligt 6 § 
till följande belopp. 

 

Arbetsinkomst som beskattas i 
Sverige 
 

överstiger inte 0,91 prisbasbelopp 
 
 
 
 
överstiger 0,91 men inte 3,24 pris-
basbelopp 
 
 
 
 
 
 
 
överstiger 3,24 men inte 8,08 pris-
basbelopp 
 
 
 
 
 
 
 
överstiger 8,08 prisbasbelopp 

Skattereduktion 
 
 

skillnaden  mellan  arbetsinkoms-
terna 

och 

grundavdraget, 

multiplicerad  med  skattesatsen 
för kommunal inkomstskatt 
 
skillnaden  mellan  å  ena  sidan 
summan  av  0,91 prisbasbelopp 
och  38,74 procent  av  arbets-
inkomsterna  mellan  0,91  och 
3,24 prisbasbelopp  och  å  andra 
sidan 

grundavdraget, 

multiplicerad  med  skattesatsen 
för kommunal inkomstskatt 
 
skillnaden  mellan  å  ena  sidan 
summan  av  1,813

 

prisbasbelopp 

och 

25,1

 procent  av  arbets-

inkomsterna  mellan  3,24  och 
8,08 prisbasbelopp  och  å  andra 
sidan 

grundavdraget, 

multiplicerad  med  skattesatsen 
för kommunal inkomstskatt 
 
skillnaden  mellan 

3,027

 prisbas-

belopp och grundavdraget, multi-

 

 

3

 Senaste lydelse 2024:1131. 

background image

  

  

      

plicerad  med  skattesatsen  för 
kommunal inkomstskatt 

 

Nuvarande lydelse 

Föreslagen lydelse 

67 kap. 

9 b §

4

 

Underlaget  för  skattereduktionen  består  av  sjukersättning  och 

aktivitetsersättning enligt socialförsäkringsbalken som betalats ut under 
beskattningsåret och som ska tas upp till beskattning enligt denna lag. 

En  utländsk  ersättning  enligt  lagstiftning  om  social  trygghet  som 

betalas  ut  enligt  grunder  som  är  jämförbara  med  vad  som  gäller  för 
sjukersättning  och  aktivitetsersättning  ska  efter  begäran  medräknas  i 
underlaget för skattereduktionen om ersättningen tas upp till beskattning 
i Sverige. 

 

Underlaget  ska  avrundas  nedåt 

till helt hundratal kronor. 

 

Nuvarande lydelse 

 

9 c § 

Skattereduktionen uppgår till följande belopp: 
 

Underlag beräknat enligt 9 b § 

Skattereduktion 

överstiger inte 0,91 prisbasbelopp 

skillnaden  mellan  underlaget  och 
grundavdraget,  multiplicerad  med 
skattesatsen 

för 

kommunal 

inkomstskatt 

överstiger 0,91 men inte 3,24 pris-
basbelopp 

skillnaden  mellan  å  ena  sidan 
summan av 0,91 prisbasbelopp och 

34,05 

procent av underlaget mellan 

0,91 och  3,24 prisbasbelopp och  å 
andra 

sidan 

grundavdraget, 

multiplicerad  med  skattesatsen  för 
kommunal inkomstskatt 

överstiger 3,24 prisbasbelopp 

skillnaden  mellan  å  ena  sidan 
summan  av 

1,703

 prisbasbelopp 

och 

12,8

 procent av underlaget som 

överstiger 3,24 prisbasbelopp och å 
andra 

sidan 

grundavdraget, 

multiplicerad  med  skattesatsen  för 
kommunal inkomstskatt 

Skattereduktionen  ska  dock  alltid  uppgå  till  minst  4,5 procent  av 

underlaget, multiplicerat med skattesatsen för kommunal inkomstskatt. 
 
 
 

 

4

 Senaste lydelse 2017:1212. 

background image

  

  

      

Föreslagen lydelse 

 

9 c §

5

 

Skattereduktionen uppgår till följande belopp: 
 

Underlag beräknat enligt 9 b § 

Skattereduktion 

överstiger inte 0,91 prisbasbelopp 

skillnaden  mellan  underlaget  och 
grundavdraget,  multiplicerad  med 
skattesatsen 

för 

kommunal 

inkomstskatt 
 

överstiger 0,91 men inte 3,24 pris-
basbelopp 

skillnaden  mellan  å  ena  sidan 
summan av 0,91 prisbasbelopp och 

38,74 

procent av underlaget mellan 

0,91 och  3,24 prisbasbelopp och  å 
andra 

sidan 

grundavdraget, 

multiplicerad  med  skattesatsen  för 
kommunal inkomstskatt 
 

överstiger 3,24 prisbasbelopp 

skillnaden  mellan  å  ena  sidan 
summan  av 

1,813

 prisbasbelopp 

och 

25,1

 procent av underlaget som 

överstiger 3,24 prisbasbelopp och å 
andra 

sidan 

grundavdraget, 

multiplicerad  med  skattesatsen  för 
kommunal inkomstskatt 
 

Skattereduktionen  ska  dock  alltid  uppgå  till  minst  4,5 procent  av 

underlaget, multiplicerat med skattesatsen för kommunal inkomstskatt. 

 

                                             

1. Denna lag träder i kraft den 1 januari 2026. 
2. Lagen tillämpas första gången på beskattningsår som börjar efter den 

31 december 2025.  

 

 

 

5

 Senaste lydelse 2021:1159. 

background image

  

  

      

10 

2.2

 

Förslag till lag om ändring i lagen (2024:1140) 
om ändring i lagen (2023:758) om ändring i 
lagen (2022:887) om ändring i 
inkomstskattelagen (1999:1229) 

Härigenom  föreskrivs  att  63 kap.  3 a §  inkomstskattelagen  (1999:1229) 
i stället  för  lydelsen  enligt  lagen  (2024:1140)  om  ändring  i  lagen 
(2023:758)  om  ändring  i  lagen  (2022:887)  om  ändring  i 
inkomstskattelagen ska ha följande lydelse. 

 

Lydelse enligt SFS 2024:1140 

 

63 kap. 

3 a § 

För  dem  som  vid  beskattningsårets  ingång  har  fyllt  67 år  är  grund-

avdraget beloppet enligt 3 § med tillägg av följande särskilda belopp. 

 
Fastställd förvärvsinkomst 
 

överstiger inte 0,91 prisbasbelopp 
 
överstiger 0,91 men inte 1,11 pris-
basbelopp 
 
 
överstiger 1,11 men inte 1,965 pris-
basbelopp 
 
 
överstiger 1,965 men inte 2,72 pris-
basbelopp 
 
 
överstiger 2,72 men inte 3,11 pris-
basbelopp 
 
 
överstiger 3,11 men inte 3,24 pris-
basbelopp 
 
 
överstiger 3,24 men inte 5,00 pris-
basbelopp 
 
 
överstiger 5,00 men inte 7,88 pris-
basbelopp 
 
 

 

Särskilt belopp 
 

0,687 prisbasbelopp 
 
0,885 prisbasbelopp  minskat  med 
20 procent  av  den  fastställda 
förvärvsinkomsten 
 
0,600 prisbasbelopp  ökat  med 
5,7 procent  av  den  fastställda 
förvärvsinkomsten 
 
0,333 prisbasbelopp  ökat  med 
19,49 procent  av  den  fastställda 
förvärvsinkomsten 
 
39,49 procent  av  den  fastställda 
förvärvsinkomsten  minskat  med 
0,212 prisbasbelopp 
 
49,49 procent  av  den  fastställda 
förvärvsinkomsten  minskat  med 
0,523 prisbasbelopp 
 

0,096

 

prisbasbelopp  ökat  med

 

30,4

 procent  av  den  fastställda 

förvärvsinkomsten 
 

0,186

 prisbasbelopp  ökat  med 

28,6

 procent  av  den  fastställda 

förvärvsinkomsten 
 

background image

  

  

11 

      

överstiger 7,88 men inte 8,08 pris-
basbelopp 
 
 
överstiger 8,08 men inte 

10,94

 pris-

basbelopp 
 
överstiger 

10,94

 

men 

inte 

12,47

 prisbasbelopp 

 
 
överstiger 

12,47

 prisbasbelopp 

0,872

 prisbasbelopp  ökat  med 

19,9

 procent  av  den  fastställda 

förvärvsinkomsten 
 

2,48

 prisbasbelopp 

 
 

9,263

 prisbasbelopp  minskat  med 

62 procent  av  den  fastställda 
förvärvsinkomsten 
 

1,532

 prisbasbelopp 

 

 

 

Föreslagen lydelse 

 

63 kap. 

3 a §  

 

För  dem  som  vid  beskattningsårets  ingång  har  fyllt  67 år  är  grund-

avdraget beloppet enligt 3 § med tillägg av följande särskilda belopp. 

 
Fastställd förvärvsinkomst 
 

överstiger inte 0,91 prisbasbelopp 
 
överstiger 0,91 men inte 1,11 pris-
basbelopp 
 
 
överstiger 1,11 men inte 1,965 pris-
basbelopp 
 
 
överstiger 1,965 men inte 2,72 pris-
basbelopp 
 
 
överstiger 2,72 men inte 3,11 pris-
basbelopp 
 
 
överstiger 3,11 men inte 3,24 pris-
basbelopp 
 
 
överstiger 3,24 men inte 5,00 pris-
basbelopp 
 
 
 

 

Särskilt belopp 
 

0,687 prisbasbelopp 
 
0,885 prisbasbelopp  minskat  med 
20 procent  av  den  fastställda 
förvärvsinkomsten 
 
0,600 prisbasbelopp  ökat  med 
5,7 procent  av  den  fastställda 
förvärvsinkomsten 
 
0,333 prisbasbelopp  ökat  med 
19,49 procent  av  den  fastställda 
förvärvsinkomsten 
 
39,49 procent  av  den  fastställda 
förvärvsinkomsten  minskat  med 
0,212 prisbasbelopp 
 
49,49 procent  av  den  fastställda 
förvärvsinkomsten  minskat  med 
0,523 prisbasbelopp 
 

35,6

 procent  av  den  fastställda 

förvärvsinkomsten 

minskat  med 

0,073 prisbasbelopp 
 

background image

  

  

      

12 

överstiger 5,00 men inte 7,88 pris-
basbelopp 
 
 
överstiger 7,88 men inte 8,08 pris-
basbelopp 
 
 
överstiger 8,08 men inte 

11,16

 pris-

basbelopp 
 
överstiger 

11,16

 

men 

inte 

12,84

 prisbasbelopp 

 
 
överstiger 

12,84

 prisbasbelopp 

0,17

 prisbasbelopp 

ökat 

med 

23,8

 procent  av  den  fastställda 

förvärvsinkomsten 
 

0,703

 prisbasbelopp  ökat  med 

25,1

 procent  av  den  fastställda 

förvärvsinkomsten 
 

2,732

 prisbasbelopp 

 
 

9,652

 prisbasbelopp  minskat  med 

62 procent  av  den  fastställda 
förvärvsinkomsten 
 

1,691

 prisbasbelopp 

 

background image

  

  

13 

      

3

 

Bakgrund

 

I  den  sakpolitiska  överenskommelsen  mellan  Sverigedemokraterna, 
Moderaterna, Kristdemokraterna och Liberalerna (Tidöavtalet) redovisas 
ett antal reformambitioner på skatteområdet som ska förverkligas under 
mandatperioden. I överenskommelsen ingår bl.a. åtgärder med inriktning 
mot sänkt skatt på inkomster från arbete och pension.   

I budgetpropositionen för 2026 kommer regeringen avisera ett förslag 

om sänkt skatt på arbetsinkomster och pension. Därtill aviseras ett förslag 
om att sänka skatten på sjuk- och aktivitetsersättning för att på så vis ta 
bort  skillnaden  i  beskattning  av  dessa  ersättningar  jämfört  med 
motsvarande  löneinkomster.  För  att  möjliggöra  ett  ikraftträdande  den 
1 januari 2026 remitteras denna promemoria från Finansdepartementet.  

4

 

Jobbskatteavdraget

 

4.1

 

Gällande rätt  

Den 1 januari 2007 infördes jobbskatteavdraget, som är en skattereduktion 
för  arbetsinkomster  (prop.  2006/07:1).  Rätt  till  jobbskatteavdrag  har 
fysiska personer som är obegränsat skattskyldiga och har arbetsinkomster. 
Även  begränsat  skattskyldiga  har  i  vissa  fall  rätt  till  skattereduktionen. 
Med  arbetsinkomster  avses  i huvudsak  sådana  inkomster  av  anställning 
eller av annat förvärvsarbete och av aktiv näringsverksamhet som närmare 
definieras genom hänvisningar till socialförsäkringsbalken.  

Det s.k. ordinarie jobbskatteavdraget ges till dem som vid beskattnings-

årets ingång är yngre än 66 år. Beräkningen av det ordinarie jobbskatte-
avdraget utgår från arbetsinkomsten, prisbasbeloppet, grundavdraget och 
skattesatsen för kommunal inkomstskatt. Skattereduktionen är indexerad 
genom  att  prisbasbeloppet  ingår  som  en  komponent  i  beräkningen.  För 
dem som vid beskattningsårets ingång har fyllt 66 år utgår ett jobbskatte-
avdrag för äldre. 

Bestämmelser  om  jobbskatteavdrag  finns  i  67 kap.  5

9 §§  inkomst-

skattelagen (1999:1229), förkortad IL. 

4.2

 

Förstärkning av jobbskatteavdraget 

Promemorians  förslag:

  Det  ordinarie  jobbskatteavdraget  förstärks 

med 17,36 miljarder kronor. Det sker genom att skattereduktionen höjs 
för personer med arbetsinkomster som överstiger ca 192 000 kronor per 
år. 

 

background image

  

  

      

14 

Skälen för promemorians förslag:

 Svensk ekonomi är i en utdragen 

lågkonjunktur med hög arbetslöshet. Svenska hushåll och den inhemska 
konsumtionen  behöver  stöttas  för  att  lågkonjunkturen  ska  kunna  brytas 
och återhämtningen återupptas. På lång sikt är det avgörande för svenskt 
välstånd och för de offentliga finanserna att den varaktiga sysselsättningen 
och antalet arbetade timmar i ekonomin ökar. Jobbskatteavdraget har en 
betydelsefull roll i detta  sammanhang och  bör därför förstärkas.  För att 
åtgärden  ska  få  avsedd  effekt  på  arbetsutbud  och  sysselsättning  bör 
skattesänkningen  främst  rikta  sig  till  heltidsarbetande  med  låga  och 
medelhöga  inkomster.  Skattesänkningen  som  andel  av  inkomsten  bör 
därför  bli  som  störst  vid  en  månadsinkomst  om  knappt  39 900 kronor 
2026.  Även  i  kronor  räknat  bör  skattesänkningen  stiga  upp  till  en 
månadsinkomst om knappt 39 900 kronor. Förslaget innebär dock att alla 
med  arbetsinkomster  som  överstiger  3,24  prisbasbelopp  per  år 
(ca 192 000 kronor  år  2026,  motsvarande  ca 16 000  kronor  per  månad), 
ges en skattereduktion med ett belopp som motsvarar en större andel av 
arbetsinkomsterna än i dag. I genomsnitt bör skattereduktionen öka med 
drygt 3 800 kronor per person och år för dem som berörs av förslaget. 

Lagförslag 

Förslaget medför ändringar i 67 kap. 7 § IL. 

5

 

Det förhöjda grundavdraget

 

5.1

 

Gällande rätt 

Den 1 januari 2009 infördes ett förhöjt grundavdrag för personer som vid 
beskattningsårets  ingång  har  fyllt  65 år.  Syftet  med  åtgärden  var  att 
förbättra de ekonomiska villkoren för pensionärer (prop. 2008/09:38). Det 
förhöjda grundavdraget har sedan dess förstärkts vid flera tillfällen. Den 
1 januari 2023 höjdes åldersgränsen för att kunna ta del av det förhöjda 
grundavdraget till 66 år för att motsvara de åldershöjningar som har gjorts 
i  det  allmänna  pensionssystemet.  För  att  åldersgränsen  ska  motsvara 
riktåldern för pension kommer den att höjas till 67 år den 1 januari 2027 
(prop. 2023/24:91). 

Det förhöjda grundavdraget beräknas som det ordinarie grundavdraget 

med tillägg av ett särskilt belopp. Tillägget har utformats så att skatten på 
pensionsinkomst för en person över 66 år ska vara likvärdig med skatten 
på arbetsinkomst för en person under 66 år (prop. 2020/21:1).  

Bestämmelser om grundavdrag finns i 63 kap. inkomstskattelagen. 

5.2

 

Förstärkning av det förhöjda grundavdraget 

Promemorians  förslag:

  Det  förhöjda  grundavdraget  förstärks  med 

4,04 miljarder kronor. Det sker genom att det särskilda beloppet som 

background image

  

  

15 

      

läggs till det ordinarie grundavdraget höjs för personer med förvärvs-
inkomster som överstiger ca 192 000 kronor per år. 

 

Skälen  för  promemorians  förslag:

  I  promemorian  föreslås  en 

förstärkning av det ordinarie jobbskatteavdraget (avsnitt 4.2). För att den 
föreslagna  förstärkningen  av  jobbskatteavdraget  inte  ska  leda  till  en 
skillnad i beskattning mellan yngre med arbetsinkomster och äldre med 
pensionsinkomster  bör  det  förhöjda  grundavdraget  förstärkas  i 
motsvarande  mån.  Det  särskilda  beloppet  som  läggs  till  det  ordinarie 
grundavdraget  bör höjas  för alla  med  förvärvsinkomster  som  överstiger 
3,24  prisbasbelopp  (ca 192 000 kronor  år  2026).  Förstärkningen  av  det 
förhöjda grundavdraget innebär en bred skattesänkning för äldre eftersom 
den kommer att gynna såväl pensionärer som personer som har fyllt 66 år 
och  fortsätter  att  arbeta.  I  genomsnitt  bör  skatten  sänkas  med 
ca 2 300 kronor per person och år för dem som berörs av förslaget.  

Som anges i avsnitt 5.1 kommer åldersgränsen för att kunna ta del av det 

förhöjda grundavdraget att höjas från 66 till 67 år 2027. Den föreslagna 
förstärkningen av det förhöjda grundavdraget bör därför från och med den 
1 januari 2027 gälla personer som vid årets ingång har fyllt 67 år. 

Lagförslag 

Förslaget medför ändringar i 63 kap. 3 a § IL.  

6

 

Skattereduktion för sjuk- och 
aktivitetsersättning

 

6.1

 

Gällande rätt 

Personer  med  långvarigt  nedsatt  arbetsförmåga  kan  få  sjuk-  eller 
aktivitetsersättning, som är kontantförmåner inom sjukförsäkringen. För 
att  ha  rätt  till  sjukersättning  ska  den  försäkrades  arbetsförmåga  vara 
stadigvarande nedsatt med minst en fjärdedel på grund av sjukdom eller 
annan  nedsättning  av  den  fysiska  eller  psykiska  prestationsförmågan. 
Sjukersättning  kan  betalas  ut  i  form  av  inkomstrelaterad  ersättning  och 
garantiersättning. Garantiersättning betalas ut till personer som under en 
ramtid haft låga eller inga förvärvsinkomster. Sjukersättning lämnas längst 
till och med månaden före den månad då den försäkrade fyller 66 år. 

Aktivitetsersättning  beviljas  försäkrade  mellan  19  och  29 år  som  har 

nedsatt arbetsförmåga på grund av sjukdom eller annan nedsättning av den 
fysiska eller psykiska prestationsförmågan under minst ett år eller som på 
grund av funktionshinder ännu inte avslutat sin utbildning på grundskole- 
eller  gymnasienivå.  Den  kan  ges  under  högst  tre  år  i  taget.  Även 
aktivitetsersättning kan betalas ut i form av inkomst-relaterad ersättning 
och  garantiersättning.  Inkomstrelaterad  sjuk-  och  aktivitetsersättning 
beräknas på grundval av en antagandeinkomst, som i sin tur beräknas med 
ledning av den försäkrades bruttoårsinkomster inom en ramtid. 

background image

  

  

      

16 

Skattereduktionen för sjuk- och aktivitetsersättning infördes 2018 med 

syftet  att  minska  skillnaden  i  beskattning  av  sådan  inkomst  och 
arbetsinkomster (prop. 2017/18:1).  

Skattereduktionen  förstärktes  och  fick  en  ny  utformning  genom  en 

lagändring som trädde i kraft den 1 januari 2022. Syftet med ändringen var 
att  ta  bort  skillnaden  i  beskattning  av  sjuk-  och  aktivitetsersättning  och 
motsvarande  arbetsinkomst,  samt  att  utforma  skattereduktionen  på  ett 
sådant sätt att den i princip ska motsvara hur jobbskatteavdraget beräknas 
(prop.  2021/22:33).  Jobbskatteavdraget  har  därefter  förstärkts  flera 
gånger,  vilket  medfört  att  en  skillnad  i  beskattning  finns  kvar  i  vissa 
inkomstintervall.  

Rätt till sådan skattereduktion har fysiska personer som är obegränsat 

skattskyldiga. Även begränsat skattskyldiga har i vissa fall rätt till skatte-
reduktionen. 

Underlaget för skattereduktionen består av sjuk- och aktivitetsersättning 

enligt socialförsäkringsbalken som betalats ut under beskattningsåret och 
som  ska  tas  upp  till  beskattning  enligt  inkomstskattelagen.  En  utländsk 
ersättning  enligt  lagstiftning  om  social  trygghet  som  betalas  ut  enligt 
grunder  som  är  jämförbara  med  vad  som  gäller  för  sjuk-  och 
aktivitetsersättning  ska  efter  begäran  räknas  med  i  underlaget  för 
skattereduktionen  om  ersättningen  tas  upp  till  beskattning  i  Sverige 
(67 kap. 9 b § IL). 

Skattereduktionens  storlek  beräknas  utifrån  aktuellt  prisbasbelopp, 

underlaget enligt 67 kap. 9 b § IL, grundavdraget enligt 63 kap. 3 § IL och 
skattesatsen  för  kommunal  inkomstskatt.  Reduktionen  uppgår  alltid  till 
minst  4,5 procent  av  underlaget  multiplicerat  med  skattesatsen  för 
kommunal inkomstskatt (67 kap. 9 c § IL).    

6.2

 

Förstärkning av skattereduktionen för sjuk- och 
aktivitetsersättning 

Promemorians förslag:

 Skattereduktionen för personer med sjuk- och 

aktivitetsersättning ska förstärkas för att ta bort skillnaden i beskattning 
av  sådan  ersättning  och  av  arbetsinkomster.  Det  sker  genom  att 
skattereduktionen  höjs  för  alla  som  har  ett  underlag  som  överstiger 
ca 54 000 kronor per år. 

Underlaget  för  skattereduktionen  ska  avrundas  nedåt  till  helt 

hundratal kronor.  

 

Skälen för promemorians förslag:

 Som framgår av avsnitt 6.1. finns 

det  en  skillnad  i  beskattning  av  sjuk-  och  aktivitetsersättning  och 
motsvarande arbetsinkomster. Skattereduktionen för sjuk- och aktivitets-
ersättning bör förstärkas för att ta bort denna skillnad i beskattning.  

För  underlag  mellan  0,91  och  3,24 prisbasbelopp  (ca 54 000

192 000 kronor  år  2026)  är  skattereduktionen  för  sjuk-  och  aktivitets-
ersättning  mindre  generös  än  jobbskatteavdraget  för  arbetsinkomster  i 
motsvarande  inkomstintervall.  Detsamma  gäller  för underlag  som  över-
stiger  3,24 prisbasbelopp.  För  underlag  som  understiger  0,91 prisbas-
belopp är skattereduktionen i princip lika stor som jobbskatteavdraget för 

background image

  

  

17 

      

motsvarande  arbetsinkomster.  Skattereduktionen  för  sjuk-  och 
aktivitetsersättning  bör  därför  förstärkas  för  underlag  mellan  0,91  och 
3,24 prisbasbelopp, samt för underlag som överstiger 3,24 prisbasbelopp. 

För att skattereduktionens konstruktion bättre ska stämma överens med 

hur jobbskatteavdraget är utformat bör det införas en bestämmelse om att 
underlaget  ska  avrundas  nedåt  till  helt  hundratal  kronor.  Motsvarande 
gäller för arbetsinkomster när jobbskatteavdraget ska bestämmas (67 kap. 
6 § IL). 

Lagförslag 

Förslaget medför ändringar i 67 kap. 9 b och 9 c §§ IL.  

7

 

Ikraftträdande- och övergångs

-

bestämmelser

 

Promemorians  förslag:

  Lagändringarna  träder  i  kraft  den  1  januari 

2026 och tillämpas första gången på beskattningsår som börjar efter den 
31 december 2025.  

 

Skälen  för  promemorians  förslag:

  Beskattningsåret  för  fysiska 

personer är ett kalenderår. Lagändringarna bör därför träda i kraft vid ett 
årsskifte.  Det  är  angeläget  att  ändringarna  träder  i  kraft  så  snart  som 
möjligt  för  att  hushållens  ekonomi  ska  få  den  avsedda  förstärkningen. 
Förslagen  föreslås  träda  i  kraft  den  1 januari  2026  och  tillämpas  första 
gången på beskattningsår som börjar efter den 31 december 2025. 

Det  följer  av  kontantprincipen  att  intäkter  ska  tas  upp  som  intäkt  det 

beskattningsår då de kan disponeras, eller på något annat sätt kommer den 
skattskyldige till del (10 kap. 8 § IL). Det innebär att utbetalningar av t.ex. 
sjuk-  och  aktivitetsersättning  som  görs  efter  den  31  december  2025 
kommer att omfattas av de nya bestämmelserna. Det gäller oberoende av 
om utbetalningarna avser tid före ikraftträdandet eller inte. 

8

 

Konsekvensanalys

 

I  detta  avsnitt  redogörs  för  förslagets  effekter  i  den  omfattning  som 
bedöms  stå  i  proportion  till  det  aktuella  lagstiftningsärendet  och  med 
utgångspunkt  i  relevanta  delar  av  7 §  förordningen  (2024:183)  om 
konsekvensutredningar.  Redogörelser  enligt  kraven  i  6 §  samma 
förordning återfinns i avsnitt 1

5 i den omfattning som bedöms lämpligt.   

De  offentligfinansiella  effekterna  till  följd  av  ändrade  skatte-  och 

avgiftsregler 

beräknas 

enlighet 

med 

Finansdepartementets 

beräkningskonventioner.  Beräkningarna  görs  i  ikraftträdandeårets  priser 
och  volymer  och  utgår  vanligtvis  från  att  beteendet  hos  individer  och 
företag inte ändras till följd av förändringarna i skattereglerna. Antagandet 

background image

  

  

      

18 

om oförändrat beteende ger en god uppskattning av åtgärdernas effekt på 
kort  och  medellång  sikt.  På  längre  sikt,  och  för  att  analysera  andra 
konsekvenser än de offentligfinansiella effekterna, kan ett mer dynamiskt 
synsätt  behöva  användas,  där  skattebaser  tillåts  påverkas  av 
regeländringen. 

8.1

 

Syfte och alternativa lösningar 

I promemorian föreslås att skatten på arbete ska sänkas. Förslaget syftar 
till att göra det mer lönsamt att arbeta, att öka sysselsättningen och antalet 
arbetade timmar bland dem som redan arbetar. Sänkt skatt på arbete görs 
enklast genom en förstärkning av den skattereduktion på arbetsinkomster 
som  redan  finns,  jobbskatteavdraget.  Några  alternativa  lösningar  har 
därför inte prövats. För att undvika att en skillnad i beskattningen mellan 
äldres pensionsinkomster och yngres arbetsinkomster ska uppstå behöver 
även  skatten  på  äldres  pensionsinkomster  sänkas.  Liksom  vid  tidigare 
skattesänkningar för äldre föreslås det ske genom en förstärkning av det 
förhöjda grundavdraget. Av samma skäl föreslås även en förstärkning av 
skattereduktionen för sjuk- och aktivitetsersättning för att beskattningen 
av dessa inkomster ska bli den samma som för arbetsinkomster. 

8.2

 

Offentligfinansiella effekter 

Förslaget om förstärkt jobbskatteavdrag beräknas minska skatteintäkterna 
2026 med 17,36 miljarder kronor. 

För  kommuner  och  regioner  medför  förslaget  inte  någon  kostnad  då 

skattereduktioner inte påverkar den beskattningsbara förvärvsinkomsten. 
Förslaget  bedöms  vidare  få  positiva  effekter  på  arbetsutbud  och  syssel-
sättning (se vidare avsnitt 8.5), vilket i sin tur bör leda till en förstärkning 
av  de  kommunala  och  de  statliga  finanserna.  Ett  ökat  arbetsutbud  kan 
också leda till att rekrytering i offentlig sektor underlättas. 

Förslaget  om  en förstärkning  av det  förhöjda  grundavdraget  beräknas 

minska  skatteintäkterna  med  4,04 miljarder  kronor  2026.  Av  dessa  är 
3,89 miljarder kronor minskade kommunala skatteintäkter. Intäkterna från 
begravningsavgiften minskar med ca 30 miljoner kronor, statliga skatte-
reduktioner  minskar  med  ca 10 miljoner  kronor,  statlig  inkomstskatt 
minskar med ca 160 miljoner kronor och public serviceavgiften minskar 
med ca 10 miljoner kronor. 

Förslaget  om  förstärkt  skattereduktion  för  personer  med  sjuk-  och 

aktivitetsersättning beräknas minska skatteintäkterna med 0,46 miljarder 
kronor. Förslaget är en skattereduktion och påverkar inte kommunsektorns 
skatteintäkter. 

8.3

 

Effekter för företagen 

Förslaget om ett förstärkt jobbskatteavdrag gör det mer lönsamt att arbeta 
och  mer  attraktivt  att  starta  och  bedriva  aktiv  näringsverksamhet.  Det 

background image

  

  

19 

      

påverkar  dock  inte  förhållandet  mellan  att  vara  anställd  och  att  bedriva 
enskild  näringsverksamhet  eller  verksamhet  i  handelsbolag.  Förslaget 
bedöms  inte  heller  påverka  företagens  konkurrensförhållanden  eftersom 
det  omfattar  alla  som  har  arbetsinkomster.  Jobbskatteavdraget  beaktas 
automatiskt av Skatteverket och bedöms därför inte påverka företagens, 
kommunernas eller regionernas administrativa börda. I den mån förslaget 
ökar  arbetsutbudet  kan  rekryteringsprocesser  och  matchningen  på 
arbetsmarknaden komma att förbättras för både företag och myndigheter. 

Förslaget  om  en  förstärkning  av  det  förhöjda  grundavdraget  innebär 

sänkt  skatt  på  alla  sorters  förvärvsinkomster  för  dem  som  berörs.  Den 
berörda ålderskategorin har redan särskilda skatteregler och förändringen 
kommer att beaktas automatiskt av Skatteverket. Det bedöms därför inte 
påverka företagens, kommunernas eller regionernas administrativa börda. 

Förslaget om förstärkt skattereduktion för sjuk- och aktivitetsersättning 

bedöms  inte  påverka  företagens,  kommunernas  eller  regionernas 
administrativa börda. 

8.4

 

Effekter för enskilda  

Förslaget  om  förstärkt  jobbskatteavdrag  innebär  att  marginalskatten  för 
personer  upp  till  66 år  sänks  på  årsarbetsinkomster  mellan  3,24  och 
8,08 prisbasbelopp vilket med 2026 års prognostiserade prisbasbelopp på 
59 200 kronor  innebär  årsarbetsinkomster  mellan  ca 191 800  och 
478 300 kronor.  Genomsnittsskatten  sänks  för  alla  med  arbetsinkomster 
över  ca 191 800 kronor  per  år.  Sammantaget  innebär  den  föreslagna 
förstärkningen  av  jobbskatteavdraget  en  skattelättnad  med  upp  till 
4 816 kronor per person och år vid en genomsnittlig kommunalskattesats. 
Cirka 4,5 miljoner personer berörs av förslaget. Den genomsnittliga skatte-
sänkningen  för  dem  som  berörs  blir  knappt  3 800  kronor  per  år  medan 
genomsnittlig skattesänkning för alla med jobbskatteavdrag upp till 66 år 
blir ca 2 970 kronor per år. Tabell 6.1 visar skattesänkningen i kronor och 
som andel av inkomsten vid olika inkomster 2025. 

Tabell 8.1 

Förändring i skatt för personer upp till 66 år till följd av 
förslaget om förstärkt jobbskatteavdrag 

Kronor per år och procent 

Arbetsinkomst 

Ändrad skatt, 

kronor 

Ändrad skatt, i 

% av inkomsten 

Totalt ändrad 

skatt i % 

100 000 

0,0 

0,0 

200 000 

-138 

-0,1 

-0,5 

300 000 

-1 823 

-0,6 

-3,4 

400 000 

-3 509 

-0,9 

-4,4 

500 000 

-4 816 

-1,0 

-4,5 

600 000 

-4 816 

-0,8 

-3,4 

750 000 

-4 816 

-0,6 

-2,3 

1 000 000 

-4 816 

-0,5 

-1,4 

1 500 000 

-4 816 

-0,3 

-0,8 

background image

  

  

      

20 

Källa: Egna beräkningar. Prisbasbelopp på 59

 2

00 kronor har använts i beräkningarna. 

 

Figur  8.1  visar  jobbskatteavdraget  i  förhållande  till  arbetsinkomst  vid 
gällande regler och med förslagna regeländringar. 

Figur 8.1 

Jobbskatteavdraget för en person upp till 66 år med enbart 
arbetsinkomst 

Kronor per år 

 

Källa: Egna beräkningar. Prisbasbelopp på 59 200 kronor har använts. 

 

Förslaget om en förstärkning av det förhöjda grundavdraget är utformat så 
att skatten för äldre med pensionsinkomst ska bli så lik skatten för en yngre 
person  med  arbetsinkomst  som  möjlig.  Förslagets  effekter  vid  olika 
inkomstnivåer  är  därför  mycket  lika  effekterna  för  förstärkningen  av 
jobbskatteavdraget.  Eftersom  det  förhöjda  grundavdraget  är  ett  avdrag 
medan  jobbskatteavdraget  är  en  skattereduktion  blir  effekterna  däremot 
inte identiska. Ett avdrag påverkar dessutom när statlig inkomstskatt ska 
betalas  och  hur  stor  skattereduktionen  för  förvärvsinkomst  blir.  I 
promemorian föreslås justeringar av det förhöjda grundavdraget för att ta 
hänsyn till detta.  

Ungefär 1,75 miljoner personer får lägre skatt till följd av förslaget om 

förstärkt  förhöjt  grundavdrag.  Den  genomsnittliga  skattesänkningen  för 
dessa blir ca 2 300 kronor per år medan genomsnittlig skattesänkning för 
alla med förhöjt grundavdrag blir knappt 1 900 kronor per år. 

 

 

0

10 000

20 000

30 000

40 000

50 000

60 000

0

200 000

400 000

600 000

800 000

1 000 000

Gällande regler

Föreslagna regler

background image

  

  

21 

      

 

Tabell 8.2 

Förändring i skatt för personer över 66 år till följd av 
förslaget om ytterligare förhöjt grundavdrag 

Kronor per år och procent 

Pensionsinkomst 

Ändrad skatt, 

kronor 

Ändrad skatt, i 

% av inkomsten 

Totalt ändrad 

skatt i % 

100 000 

0,0 

0,0 

200 000 

-126 

-0,1 

-0,4 

300 000 

-1 773 

-0,6 

-3,3 

400 000 

-3 498 

-0,9 

-4,4 

500 000 

-4 829 

-1,0 

-4,5 

600 000 

-4 829 

-0,8 

-3,5 

750 000 

-5 088 

-0,7 

-2,5 

1 000 000 

-4 926 

-0,5 

-1,5 

1 500 000 

-4 926 

-0,3 

-0,8 

Källa: Egna beräkningar. Prisbasbelopp på 59

 2

00 kronor har använts i beräkningarna. 

Figur 8.2 

Grundavdrag och förhöjt grundavdrag enligt gällande och 
föreslagna regler. 

Kronor per år 

 

Källa: Egna beräkningar. Prisbasbelopp på 59 200 kronor har använts. 

 
Uppskattningsvis kommer ca 270 000 personer att ha inkomst i form av 
sjuk-  eller aktivitetsersättning 2026.  Ca 250 000 av dessa  har ersättning 
som  överstiger  54 000 kronor.  Den  föreslagna  förstärkningen  av  skatte-
reduktionen  medför  att  skatteuttaget  minskar  för  dessa  personer.  Den 
genomsnittliga skattesänkningen för berörda personer beräknas uppgå till 
ca 1 800 kronor per år. 

Hur stor skattesänkningen blir för enskilda beror på storleken på deras 

ersättning, kommunalskattesats samt om de har andra förvärvsinkomster. 
Baserat på 2026 års prognostiserade prisbasbelopp och kommunalskatte-
satser beräknas skattesänkningen bli 1 674 kronor per år vid genomsnittlig 

0

20 000

40 000

60 000

80 000

100 000

120 000

140 000

160 000

180 000

200 000

0

200 000

400 000

600 000

800 000

1 000 000

Ordinarie

Gällande regler

Föreslagna regler

background image

  

  

      

22 

kommunalskattesats för personer som fyllt 30 år och som har ersättning på 
hel garantinivå (se tabell 8.3). För personer som har högsta möjliga ersätt-
ningsnivå,  och  genomsnittlig  kommunalskattesats,  beräknas  skattesänk-
ningen bli 5 910 kronor per år. 

För personer som får transfereringar som bestäms utifrån inkomst efter 

skatt, t.ex. ekonomiskt bistånd, kommer den föreslagna skattereduktionen 
att medföra att dessa transfereringar minskar. För personer som är i fortsatt 
behov  av  ekonomiskt  bistånd  trots  förstärkningen  av  skattereduktionen 
kommer den disponibla inkomsten inte att öka. Utbetalningarna av ekono-
miskt bistånd uppskattas dock minska  i marginell utsträckning i förhål-
lande  till  minskningen  av  skatteintäkterna  av  den  föreslagna 
skattereduktionen.  Avgifter  som  bestäms  av  inkomst  efter  skatt,  t.ex. 
avgift för omsorg, kan också komma att öka, vilket kan innebära att den 
disponibla  inkomsten  efter  dessa  avgifter  inte  ökar  eller  ökar  i  mindre 
utsträckning för berörda personer. 

Tabell 8.3 

Skattesänkning 2026 enligt förslaget om förstärkt 

skattereduktion för sjuk- och aktivitetsersättning vid olika 
ersättningsnivåer

 

Kronor per år 

  Ersättning 

Ändrad skatt,  

kronor 

Hel garantinivå

 

 

 

  Innan 21 år 

146

 

816 

-1

 

411 

  Mellan 21 och 23 år 

149

 

776 

-1

 

449 

  Mellan 23 och 25 år 

152

 

736 

-1

 

498 

  Mellan 25 och 27 år 

155

 

696 

-1

 

536 

  Mellan 27 och 29 år 

158

 

656 

-1

 

586 

  Mellan 29 och 30 år 

161

 

616 

-1

 

635 

  Från och med 30 år 

164

 

576 

-1

 

674 

Andra ersättningsnivåer 

 

 

 

 

 200 000  

-2

 

437 

 

 

 250 000  

-4

 

430 

 

Högsta inkomstrelaterade ersättning 

 

 287 268  

-5

 

910 

Anm.: Ersättningsnivåerna är baserade på gällande regler och förväntat prisbasbelopp 2026 (59 200 kronor). 

Skattesänkningen är beräknad baserat på prisbasbeloppet 2026 och kommunalskattesatserna för 2025. Den 

föreslagna utformningen innebär att underlaget för skattereduktionen bestäms av storleken på sjuk - och 

aktivitetsersättning och befintligt grundavdrag. Grundavdragets nivå beror dock på storleken på den fast -

ställda förvärvsinkomsten vilket innebär att andra förvärvsinkomster än sjuk - och aktivitetsersättning kan 

påverka storleken på skattereduktionen. I tabellen antas övriga förvärvsinkomster vara 0.  
Källa: Egna beräkningar. 

8.5

 

Effekter för sysselsättning 

Jobbskatteavdraget  

Som beskrivits i avsnitt 8.4 sänker den föreslagna förstärkningen av det 
ordinarie jobbskatteavdraget marginalskatten för personer upp till 66 år på 

background image

  

  

23 

      

arbetsinkomster  mellan  ca 191 800  och  478 300  kronor  2026  vilket 
motsvarar  en  månadslön  på  mellan  ca 16 000  och  39 900  kronor. 
Genomsnittsskatten  sänks  för  alla  med  arbetsinkomster  över 
191 800 kronor 2026.  

Förslaget innebär att det ekonomiska utbytet av att börja arbeta ökar för 

arbetsinkomster  över  191 800  kronor  2026.  Som  framgår  i  avsnitt  8.4 
innebär  förstärkningen  i  genomsnitt  en  skattelättnad  på  ca 3 800 kronor 
2026 för de som berörs av förslaget. Detta bör enligt ekonomisk teori leda 
till ökat arbetsutbud på den extensiva marginalen, dvs. att personer som 
tidigare inte aktivt sökt arbete börjar söka arbete. På lång sikt bedöms det 
leda till ett ökat antal sysselsatta.  

För  personer  i  arbete  med  arbetsinkomster  mellan  191 800  och 

478 300 kronor 2026 innebär förslaget att marginalskatten sänks med 1,7 
procentenheter eller 6,5 procent vid en genomsnittlig marginalskatt. Den 
lägre marginalskatten innebär att utbytet av ytterligare arbete ökar. Denna 
s.k. substitutionseffekt bör enligt ekonomisk teori leda till ett ökat antal 
timmar  som  personer  i  det  aktuella  inkomstintervallet  vill  arbeta.  För 
personer med arbetsinkomster över 191 800 kronor 2026 innebär även den 
sänkta skatten att färre arbetade timmar behövs för att behålla samma nivå 
av  konsumtion.  Denna  s.k.  inkomsteffekt  leder  enligt  teorin  till  att 
personer  i  detta  inkomstintervall  väljer  att  arbeta  färre  timmar.  För 
personer med arbetsinkomster över 478 300 kronor per år uppstår enbart 
inkomsteffekten.  Antalet  arbetade  timmar  för  dessa  personer  förväntas 
därför minska något. För personer med arbetsinkomster mellan  191 800 
och  478 300 kronor  per  år  innebär  förslaget  både  substitutions-  och 
inkomsteffekter och effekten på antalet arbetade timmar går därför inte att 
bedöma baserat på enbart teoretiska resonemang.  

För  att  kvantifiera  de  samlade  sysselsättningseffekterna  av  för-

stärkningen av jobbskatteavdraget används den strukturella arbetsutbuds-
modell  som  hör  till  Statistiska  centralbyråns  mikrosimuleringsmodell 
FASIT  (se  t.ex.  Riksrevisionens  underlagsrapport  Underlag  A.  FASIT 
med  arbetsutbud  [RIR  2020:09]  för  en  beskrivning  av  modellen  samt 
avsnitt  6.1  i  prop. 2023/24:13).  Modellen  skattar  effekten  av 
förstärkningen  av  jobbskatteavdraget  både  på  den  extensiva  och  den 
intensiva marginalen. FASIT tar inte hänsyn till efterfrågan på arbetskraft 
eller till eventuella effekter av skatteförändringar på lönebildningen.  

Resultaten från modellen indikerar att förslaget på lång sikt skulle öka 

antalet  sysselsatta  med  ca 6 000 personer.  Dessa  personer  utgörs  till 
hälften av kvinnor och till hälften av män.  

Resultaten pekar också på att arbetsutbudet bland sysselsatta personer 

ökar. På lång sikt bedöms antalet helårsarbetskrafter öka med  ca 14 000 
(en  helårsarbetskraft  definieras  som  1 800  arbetstimmar).  Arbetade 
timmar bland redan sysselsatta personer förväntas öka mer för kvinnor än 
för män. Av den sammantagna ökningen av antalet timmar står kvinnor 
för ca 60 procent.  

Det förhöjda grundavdraget  

Förstärkningen  av det  förhöjda  grundavdraget  påverkar  skatten  på  både 
arbets-  och  pensionsinkomster.  Den  föreslagna  förstärkningen  påverkar 
därför inte i någon större utsträckning hur lönsamt det är att arbeta jämfört 

background image

  

  

      

24 

med  pension.  Generellt  sänkt  skatt  för  personer  över  66 år  innebär  en 
inkomsteffekt som kan leda till att fler anser sig ha råd att gå i pension. 
Förslaget kan på så sätt ha en negativ effekt på sysselsättningen för äldre. 
Effekten på arbetsutbudet av det förhöjda grundavdraget kan inte skattas 
med  FASIT  och  det  råder  mycket  stor  osäkerhet  kring  storleken  på 
inkomsteffekten. Forskningen verkar dock kunna utesluta stora effekter på 
arbetsutbudet  (se  t.ex.  Skillnad  på  marginalen 

  En  ESO-rapport  om 

reformerad inkomstbeskattning

ESO 2019:3

s. 120).  

Skattereduktion för sjuk- och aktivitetsersättning 

Förstärkningen  av  skattereduktionen  för  sjuk-  och  aktivitetsersättning 
minskar  de  ekonomiska  drivkrafterna  att  gå  från  sjuk-  eller 
aktivitetsersättning  till  arbete.  I  genomsnitt  ökar  inkomsten  med 
1 800 kronor  2026.  En  studie  som  utvärderade  effekten  av  ökade 
ekonomiska drivkrafter att börja arbeta inom den svenska sjukersättningen 
fann  emellertid  inte  någon  positiv  effekt  av  detta  på  arbetsutbud  eller 
utbildningsnivå  hos  personer  med  restarbetsförmåga  (Andersson,  J., 
Ekonomiska incitament till arbete inom sjukförsäkringssystemet 

 effekter 

av steglös avräkning, IFAU-rapport 2018:6). I studien konstaterats dock 
att  liknande  studier  i  andra  länder  har  hittat  effekter  av  ekonomiska 
drivkrafter på arbetsutbudet inom motsvarande förmånssystem. Resultaten 
från  FASIT-modellen  tyder  på  en  marginellt  negativ  effekt  på  antalet 
sysselsatta och arbetade timmar.  

8.6

 

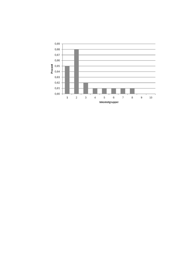
Effekter för inkomstfördelningen 

I genomsnitt ökar hushållens ekonomiska standard med 0,53 procent till 
följd  av  förslaget  om  förstärkt  jobbskatteavdrag.  Den  ekonomiska 
standarden  ökar  i  alla  inkomstgrupper,  men  effekten,  mätt i  procent,  är 
störst  i  inkomstgrupperna  6

8,  där  ekonomisk  standard  ökar  med 

0,73 procent.  Förslaget  innebär  ingen  nämnvärd  förändring  av 
inkomstfördelningen mätt med Gini-koefficienten. 

 

background image

  

  

25 

      

Figur 8.3 

Genomsnittlig effekt av förstärkt ordinarie jobbskatteavdrag 
på ekonomisk standard uppdelat på inkomstgrupper. 

procent 

  

Källa: Statistiska centralbyrån och egna beräkningar. 

 

Förslaget beräknas i genomsnitt öka individernas ekonomiska standard i 
samtliga regioner, men ökningen bedöms i procent vara något större i s.k. 
täta regioner som är avlägset belägna. 

Figur 8.4 

Genomsnittlig effekt på ekonomisk standard i olika 
kommungrupper

 

Procent 

 

Källa: Statistiska centralbyrån och egna beräkningar. 

 
 
 

0,0

0,5

1,0

Stockholm

Malmö-Lund

Göteborg

Tät region nära en större stad

Tät region avlägset belägen

Landsbygdsregion nära större stad

Landsbygdsregion avlägset belägen

Landsbygdsregion mycket avlägset belägen

Procent

background image

  

  

      

26 

Förslaget  om  en  höjning  av  det  förhöjda  grundavdraget  beräknas  öka 
hushållens  ekonomiska  standard  med  i  genomsnitt  0,11 procent. 
Genomsnittlig ekonomisk standard ökar i samtliga inkomstgrupper, men 
effekten  är  störst  i  inkomstgrupp  tre  där  den  beräknas  öka  med  i 
genomsnitt 0,17 procent. Förslaget innebär ingen nämnvärd förändring av 
inkomstfördelningen mätt med Gini-koefficienten. 
 

Figur 8.5 

Genomsnittlig effekt av ytterligare förhöjt grundavdrag på 
ekonomisk standard uppdelat på inkomstgrupper. 

Procent 

 

Källa: Statistiska centralbyrån och egna beräkningar. 

 
Förstärkningen av det förhöjda grundavdraget beräknas i genomsnitt öka 
individernas  ekonomiska  standard  i  samtliga  regioner,  men  ökningen 
bedöms vara störst i s.k. landsbygdsregioner avlägset och mycket avlägset 
belägna. 
 

0,00

0,02

0,04

0,06

0,08

0,10

0,12

0,14

0,16

0,18

1

2

3

4

5

6

7

8

9

10

Pro

ce

n

t

Inkomstgrupper

background image

  

  

27 

      

Figur 8.6 

Genomsnittlig effekt på ekonomisk standard i olika 
kommungrupper 

Procent 

 

Källa: Statistiska centralbyrån och egna beräkningar. 

 
Förslaget  om  en  förstärkning  av  skattereduktionen  för  sjuk-  och 
aktivitetsersättning beräknas öka hushållens  ekonomiska standard med i 
genomsnitt  0,01 procent.  Genomsnittlig  ekonomisk  standard  ökar  i 
samtliga  inkomstgrupper  utom  för  de  med  de  högsta  inkomsterna,  men 
effekten  är  störst  i  inkomstgrupp  två  där  den  beräknas  öka  med  i 
genomsnitt 0,08 procent. Eftersom effekterna på hela befolkningen är små 
så är det liten skillnad mellan effekterna av en förstärkt skattereduktion 
mellan olika regioner.  
 
 

0,0

0,1

0,2

Stockholm

Malmö-Lund

Göteborg

Tät region nära en större stad

Tät region avlägset belägen

Landsbygdsregion nära större stad

Landsbygdsregion avlägset belägen

Landsbygdsregion mycket avlägset belägen

background image

  

  

      

28 

Figur 8.7 

Genomsnittlig effekt av förstärkt skattereduktion för sjuk- 

och aktivitetsersättning på ekonomisk standard uppdelat på 
inkomstgrupper. 

Procent 

 

Källa: Statistiska centralbyrån och egna beräkningar. 

8.7

 

Effekter för den ekonomiska jämställdheten 

Individuell disponibel inkomst bedöms, procentuellt sett, öka nästan lika 
mycket  för  män  och  för  kvinnor  till  följd  av  förslaget  om  förstärkt 
jobbskatteavdrag.  För  kvinnor  beräknas  individuell  disponibel  inkomst 
öka  med  i  genomsnitt  0,53 procent  och  för  män  med  0,52  procent.  Det 
bedöms  vara  ca 250 000  fler  män  än  kvinnor  som  berörs  direkt  av 
förslaget. 
 

background image

  

  

29 

      

Figur 8.8 

Genomsnittlig effekt av förstärkt jobbskatteavdrag på 
individuell disponibel inkomst för kvinnor och män.

 

Procent 

 

Källa: Statistiska centralbyrån och egna beräkningar. 

 
Förstärkningen  av  det  förhöjda  grundavdraget  bedöms  leda  till  att 
individuell disponibel inkomst ökar mer för män än för kvinnor. För män 
beräknas  individuell  disponibel  inkomst  öka  med  i  genomsnitt 
0,13 procent medan den för kvinnor ökar med i genomsnitt 0,11 procent. 
Det bedöms vara ungefär lika många kvinnor som män som berörs direkt 
av förslaget. 
 

0,0

0,1

0,2

0,3

0,4

0,5

0,6

Kvinnor

Män

Pro

ce

n

t

background image

  

  

      

30 

Figur 8.9 

Genomsnittlig effekt av förstärkningen av det förhöjda 

grundavdraget på individuell disponibel inkomst för kvinnor 
och män

 

Procent 

 

Källa: Statistiska centralbyrån och egna beräkningar. 

 

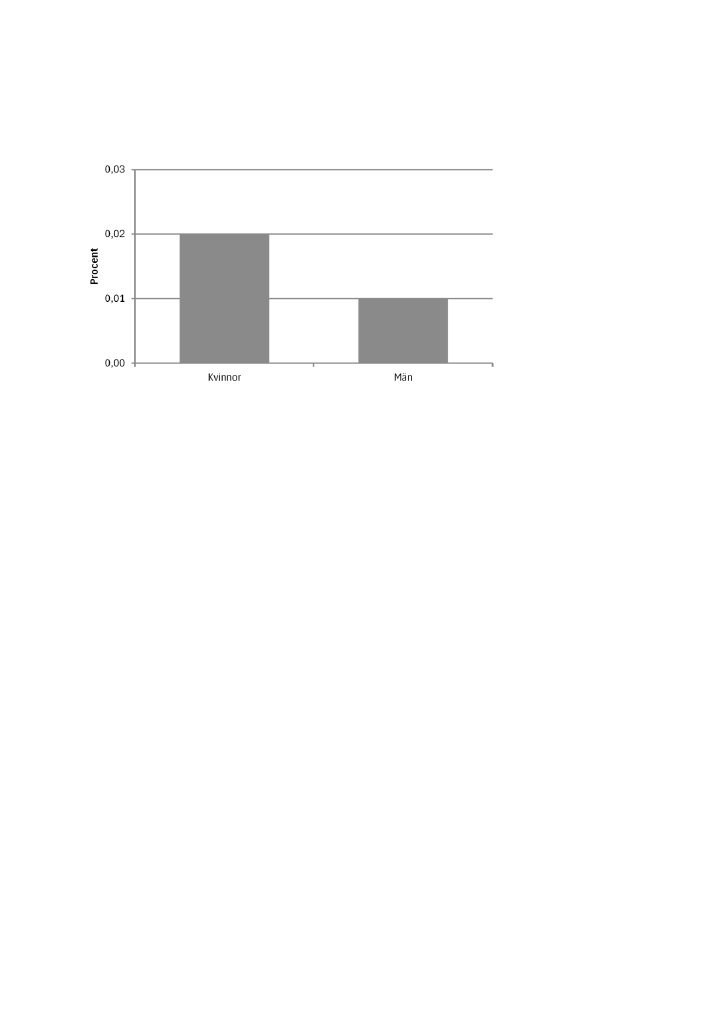
Förstärkningen  av  skattereduktionen  för  sjuk-  och  aktivitetsersättning 

bedöms leda till att individuell disponibel inkomst ökar mer för  kvinnor 
än för män. För män beräknas individuell disponibel inkomst öka med i 
genomsnitt  0,01 procent  medan  den  för  kvinnor  beräknas  öka  med  i 
genomsnitt 0,02 procent. Av de som berörs är ca 60 procent kvinnor. 
 

0,00

0,02

0,04

0,06

0,08

0,10

0,12

0,14

Kvinnor

Män

Pro

ce

n

t

background image

  

  

31 

      

Figur 8.10 

Genomsnittlig effekt av förstärkningen av skattereduktionen 

för sjuk- och aktivitetsersättning på individuell disponibel 
inkomst för kvinnor och män

 

Procent 

 

Källa: Statistiska centralbyrån och egna beräkningar. 

 
Sammanfattningsvis  påverkar  förslagen  inte  den  ekonomiska 
jämställdheten  då  individuell  disponibel  inkomst  för  både  kvinnor  och 
män väntas öka i genomsnitt med 0,66 procent. 

8.8

 

Effekter för statliga myndigheter och de 
allmänna förvaltningsdomstolarna  

Förslagen  medför  endast  marginella  förändringar  för  Skatteverket  och 
ingår i den anpassning som görs årligen på grund av ny eller förändrad 
lagstiftning.  Kostnader  för  Skatteverket  ska  hanteras  inom  befintliga 
ekonomiska ramar.  

För  de  allmänna  förvaltningsdomstolarna  bedöms  förslagen  inte  ha 

någon inverkan. 

8.9

 

Förslagets förenlighet med EU-rätten 

Förslagen bedöms vara förenliga med det EU-rättsliga regelverket. 

8.10

 

Effekter för miljön 

Förslagen bedöms inte ha några effekter för miljön. 

 

 

background image

  

  

      

32 

9

 

Författningskommentar

 

9.1

 

Förslaget till lag om ändring i 
inkomstskattelagen (1999:1229) 

63

 

kap. 

3 a §

  

I paragrafen finns bestämmelser om förhöjt grundavdrag för personer som 
vid årets ingång har fyllt 66 år. 

Ändringarna i paragrafen innebär att nuvarande nivåer i grundavdraget 

höjs  för  personer  vars  fastställda  förvärvsinkomst  överstiger  3,24 
prisbasbelopp.  

Övervägandena finns i avsnitt 5.2. 

 

67

 

kap. 

7 § 

  

Av paragrafen framgår hur jobbskatteavdraget för personer som inte har 
fyllt 66 år ska beräknas.  

Ändringarna  i  paragrafen  innebär  att  nuvarande  nivåer  i  jobbskatte-

avdraget  höjs  för  personer  vars  arbetsinkomst  som  beskattas  i  Sverige 
överstiger 3,24 prisbasbelopp.  

Övervägandena finns i avsnitt 4.2.  
 

9 b § 

 

I paragrafen anges hur underlaget för skattereduktionen ska beräknas.  

Tredje stycket

, som är nytt, innebär att underlaget för skattereduktionen 

ska avrundas nedåt till helt hundratal kronor.  

Överväganden finns i avsnitt 6.2. 
 

9 c § 

Paragrafen innehåller bestämmelser om hur storleken på skattereduktionen 
för sjuk- och aktivitetsersättning ska beräknas.  

Ändringarna  i 

första  stycket

  innebär  att  nuvarande  nivåer  för  skatte-

reduktionen för sjuk- och aktivitetsersättning höjs för personer som har ett 
underlag mellan 0,91 och 3,24 prisbasbelopp, samt för personer som har 
ett underlag som överstiger 3,24 prisbasbelopp.  

Överväganden finns i avsnitt 6.2.  

9.2

 

Förslaget till lag om ändring i lagen 
(2024:1140) om ändring i lagen (2023:758) om 
ändring i lagen (2022:887) om ändring i 
inkomstskattelagen (1999:1229) 

De ändringar som beskrivs i avsnitt 9.1 avseende 63 kap. 3 a § inkomst-
skattelagen görs även i lagen (2024:1140) om ändring i lagen (2023:758) 
om  ändring  i  lagen  (2022:887)  om  ändring  i  inkomstskattelagen 
(1999:1229) som träder i kraft den 1 januari 2027.  

Övervägandena finns i avsnitt 5.2. 


Document Outline